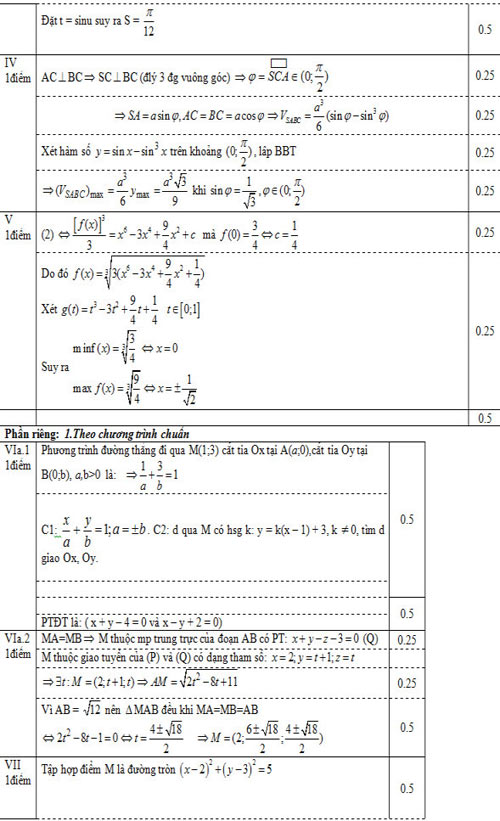
Đáp án đề thi thử ĐH năm 2012 môn Toán

Dưới đây là đề thi thử đại học, cao đẳng kèm đáp án môn Toán.

Đáp án đề thi thử ĐH năm 2012 môn Toán - 1

Đáp án đề thi thử ĐH năm 2012 môn Toán - 2

Đáp án đề thi thử ĐH năm 2012 môn Toán - 3

Đáp án đề thi thử ĐH năm 2012 môn Toán - 4

Chia sẻ
Gửi góp ý
Lưu bài Bỏ lưu bài
([Tên nguồn])
Đáp án, đề thi đại học cao đẳng 2018 Xem thêm
Báo lỗi nội dung
GÓP Ý GIAO DIỆN